在生物医学研究领域,准确评估患者卵巢中的原始卵泡池(PFP)意义重大,它关系到对卵巢生理和疾病机制的理解,在临床辅助生殖技术中也至关重要。以往,研究人员主要通过显微镜观察和人工计数来测量PFP,但这种方法不仅工作量巨大,而且主观性强,不同团队的计数结果差异很大。随着高通量测序技术的发展,寻找新的评估方法成为可能。
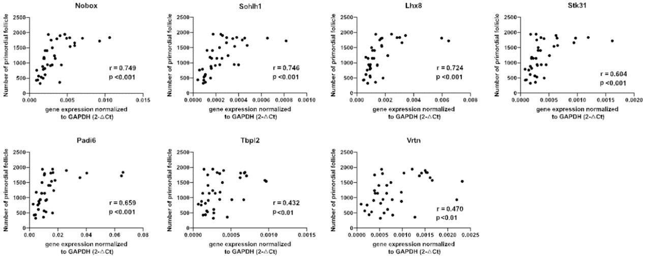
我公司创始人团队展开了一项重要研究。他们以不同年龄的C57BL/6L雌性小鼠为研究对象,将小鼠分为高卵巢储备组和低卵巢储备组。通过手术获取小鼠卵巢,一部分用于组织学分析和卵泡计数,另一部分则用于提取RNA。之后,研究人员利用定量实时荧光定量 PCR(qRT-PCR)技术,检测了7个候选基因(Sohlh1、Nobox、Lhx8、Tbpl2、Stk31、Padi6 和 Vrtn )的表达情况。研究结果令人惊喜。这7个基因在高、低卵巢储备组小鼠的卵巢中,表达水平存在显著差异。通过受试者工作特征曲线(ROC)分析发现,这些基因都具备评估卵巢储备水平的能力。进一步分析发现,所有候选基因的表达与PFP数量都有相关性,其中Nobox、Sohlh1和Lhx8的相关性较强。在进行线性回归分析时,研究人员发现对数模型最适合描述基因表达与PFP数量之间的关系。经过逐步回归分析,最终确定Sohlh1和Lhx8基因的组合,能最有效地评估小鼠卵巢中的PFP数量。

从分子机制上看,Sohlh1和Lhx8作为关键的卵母细胞特异性转录因子,在调节出生后卵泡发育,尤其是原始卵泡激活的早期阶段起着不可或缺的作用。之前的研究表明,这两种基因相互关联,它们可以相互调控并结合形成核复合物,共同调节卵母细胞的生长和分化。
这项研究为评估卵巢PFP提供了新的视角和方法。虽然目前的研究是在小鼠模型上进行的,但这些基因在人类和小鼠中具有较高的同源性。未来,有望在此基础上开发出更高效、准确的评估人类卵巢储备的方法,为临床辅助生殖技术,如卵巢组织冷冻保存、体外激活等提供有力支持,帮助更多患者解决生育问题。不过,在应用于人类之前,还需要更多的研究和验证,让我们共同期待这些研究成果能早日造福人类。
上一篇: 没有了!
下一篇: 脂肪干细胞移植修复子宫内膜损伤